沙眼衣原体感染是一种在男性与男性发生性行为(MSM)中常见的性传播感染,由于对HIV的预防性服药使安全套的使用率下降,其疾病负担可能随着时间的增加而增加,只有更清楚地了解衣原体的传播途径,才能进一步提出有效的预防措施来降低该病所带来的不良影响。然而,由于衣原体的传播可能发生在口咽,尿道和肛门直肠这三个解剖部位之间,其传播途径可能比以前所认识到的更为复杂,仅通过流行病学调查来研究这些性行为对衣原体传播的潜在影响是比较困难的,而且这样的研究也很难进行。建立数学模型用于探究人群中衣原体的多部位感染的传播则显得尤为重要。目前已有几种数学模型探讨了衣原体在异性恋和男同性恋中的传播,但这些研究均未使用特异的解剖部位来建立模型,另外,大多数男同性恋者在一次性事件过程中会有多次不同方式的性行为,这在以前的衣原体模型中是不被包含的。鉴于以上问题,西安交通大学张磊教授及其团队建立了一系列数学模型,从而确定在MSM中哪些性行为对于口咽,尿道和肛门直肠这三个解剖部位的沙眼衣原体感染是必需的。近日,该研究成果“Chlamydia trachomatis transmission between the oropharynx, urethra and anorectum in men who have sex with men: a mathematical model”在BMC Medicine(影响因子6.8)期刊发表,该期刊主要涉及临床实践、转化医学、医学和健康、公共卫生等领域。

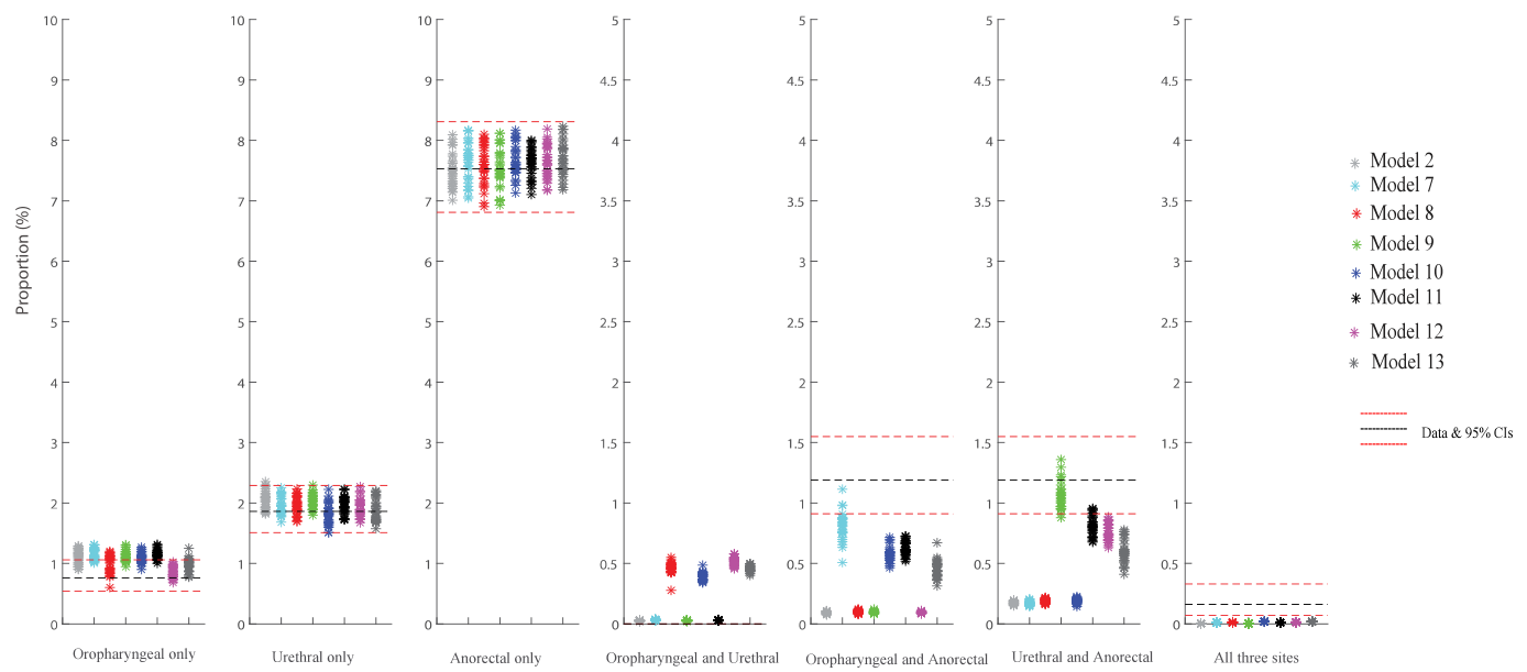
Fig. 1 Estimates of the eight models for the percentage of specific anatomical sites positive for Chlamydia trachomatis for the 8 models (model 2, 7–13) and the 95% confidence intervals for the observed site-specific positivity among 4888 MSM attending Melbourne Sexual Health Centre in 2018 and 2019.
该研究根据不同的性行为方式建立了20个模型,并使用4888名MSM在三个解剖的沙眼衣原体感染率进行了模型校准。研究发现仅包含口交和肛交的基线模型可以校准仅口咽,尿道和直肠的单部位的感染率,但是不能很好校准多个部位同时感染的情况。但是,如果在同一次性事件中包括因连续发生的性行为传播情况(例如,口交时阴茎被唾液污染然后通过肛交将衣原体传播到肛门直肠)将大大提高对多部位同时感染率的校准。

Fig. 2 a Estimated proportion of incident Chlamydia trachomatis cases that occur at the oropharynx, anorectum or urethra in MSM from the eight models (model 2, 7–13) among 4888 MSM attending Melbourne Sexual Health Centre in 2018 and 2019. b Estimated proportion of incident Chlamydia trachomatis cases caused by sexual practices in MSM from the eight models (model 2, 7– 13) among 4888 MSM attending Melbourne Sexual Health Centre in 2018 and 2019.
图2显示了在校准程度最佳的8个模型中不同性行为在不同解剖部位感染衣原体的相对比例,在所有的八个模型中,衣原体感染的发生率因解剖部位而异(肛门直肠部:50.9–63.7%;尿道部:31.4–43.6%;口咽部:5.2–7.5%)。仅由肛交引起的衣原体感染比例为44.7–55.9%,(肛门直肠部向尿道部:14.0–30.8%;尿道部向肛门直肠部:24.5–36.1%),仅通过舐肛引起的衣原体感染比例为15.6–36.1%(肛门直肠部向口咽部:2.6–3.6%;口咽部向肛门直肠部:13.1–32.5%),仅通过口交引起的衣原体感染比例为8.7–19.2%(尿道部向口咽部:2.6–3.7%;口咽部向尿道部:5.6–15.6%)。
该研究表明在MSM中口咽衣原体感染的发病率相对较低,肛门直肠的感染可显著增加衣原体的总发病率。肛交是MSM衣原体感染的主要原因,在此过程中坚持使用安全套可以预防一半以上的感染,因此推广使用安全套是一种有效的预防策略。
该研究是第一个探索MSM中不同性行为对于多个解剖部位(口咽,尿道和肛门直肠)在衣原体传播中发挥作用的建模研究,对进一步认识MSM中沙眼衣原体多部位感染的传播途径可以提供一定的理论支持,对控制男性衣原体在多个解剖部位的传播方面迈出了重要的一步。
张磊教授主要从事公共卫生与数学、统计学、人工智能等领域的交叉学科研究,已有系列研究成果发表在Lancet Infectious Diseases、Lancet Global Health, Lancet HIV、Genetics in Medicine等国际高影响力杂志。其于2006年在澳大利亚新南威尔士大学获医学博士学位,先后在德国柏林洪堡大学、澳大利亚新南威尔士大学和莫纳什大学任职,是WHO特聘顾问。2018年7月入选西安交通大学“青年拔尖人才”A类,同年11月正式入职公共卫生学院。
原文链接:https://bmcmedicine.biomedcentral.com/articles/10.1186/s12916-020-01796-3