上消化道癌(食管癌和胃癌)严重危害我国居民健康,我国两癌年发病和死亡数均占全球的一半。早期筛查是上消化道癌最有效的防控手段,内镜筛查是其目前最准确的方法。但是,食管癌和胃癌内镜联合筛查、食管癌分级内镜筛查卫生经济学效果如何,亟待做出评价。为此,西安交通大学公共卫生学院科研团队联合国家癌症中心科研团队,基于我国上消化道癌筛查前瞻性队列研究项目,开展了相关卫生经济学评价研究。最近,研究成果以“Estimated cost-effectiveness of endoscopic screening for upper gastrointestinal tract cancer in high-risk areas in China”和“Cost-effectiveness of risk-stratified endoscopic screening for esophageal cancer in high-risk areas of China: a modeling study”为题分别发表在JAMA Network Open(IF=8.483)和Gastrointestinal Endoscopy(IF=9.427)国际知名期刊。公共卫生学院博士后夏茹意是两篇论文的第一作者,其合作导师公共卫生学院庄贵华教授和国家癌症中心陈万青教授是两篇论文的通讯作者。
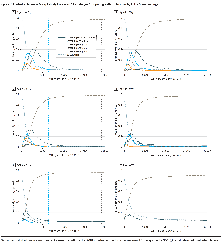
第一篇论文证实:在中国上消化道癌高发区,针对40?69岁人群,内镜同时筛查食管癌和胃癌策略具有高的成本效果,不论哪个初始筛查年龄2年一次内镜筛查均是最佳策略。40?44岁开始2年一次内镜筛查获得健康收益最大,终生一次内镜筛查在65?69岁初始筛查年龄获得健康收益最大。


第二篇论文证实:在中国食管癌高发区,针对40?69岁人群,使用前期发表的风险评分模型初筛确定高危人群、再对高危人群进行内镜筛查的分级筛查策略具有成本效果。并且,在<55岁人群中,以8或9分作为划分高危人群的界值,并开展分级内镜筛查为最具成本效果的策略;在≥55岁人群中,以直接内镜筛查为最具成本效果的策略。


以上研究成果为国家制定上消化道癌筛查和早诊早治策略提供了重要科学依据。
论文链接:https://pubmed.ncbi.nlm.nih.gov/34402889/和https://www.sciencedirect.com/science/article/pii/S0016510721015637?via%3Dihub
夏茹意师从庄贵华教授,2020年获得西安交通大学博士学位并作为青年优秀人才留校继续从事博士后研究工作。庄贵华教授团队长期关注基于模型的卫生经济学评价研究和疾病防控策略效果预测研究。在传染病防控研究领域已在Lancet Global Health、Hepatology等国际知名期刊发表多篇论文。近年来,团队与国家癌症中心合作,在国家有关项目资助下,开展恶性肿瘤干预措施的卫生经济学评价和效果预测研究。