慢性阻塞性肺疾病(chronic obstructive pulmonary disease, COPD)简称慢阻肺,是一种常见的慢性呼吸系统疾病,其特征为不可逆的肺功能下降和持续的呼吸道症状,严重影响患者生活质量。我国COPD患者人数超过1亿,是世界上COPD负担最重的国家之一。
规律的体力活动(包括步行、家务、简单运动等)被广泛认为是降低 COPD 风险、改善预后的重要保护性生活方式因素。然而,长期暴露于空气污染,尤其是细颗粒物(PM2.5)、二氧化氮(NO2)和臭氧(O3),已被证明会显著增加 COPD 的发病风险。由于体力活动会增加肺通气量,进而增加空气污染物的吸入剂量,目前对在空气污染较高的环境中,体力活动对COPD的保护作用是否会被抵消甚至逆转尚缺乏认识。
为此,西安交通大学公共卫生学院研究团队联合复旦大学、北京大学及英国牛津大学研究团队,依托中国慢性病前瞻性研究(China Kadoorie Biobank,CKB)开展了探索性研究。该研究纳入全国10个地区约47万名基线无COPD成年人,总随访人年达590万。研究基于卫星遥感技术和随机森林模型精确估算了队列人群对PM2.5、NO2和O3的长期暴露水平。结合问卷调查和体测数据,评估了队列人群体力活动水平,涵盖职业、家务、通勤及休闲活动等,计算其代谢当量(MET-h/d),并通过 Cox 比例风险模型评估了体力活动与 COPD 发病风险的关系,以及空气污染对上述关系的影响。
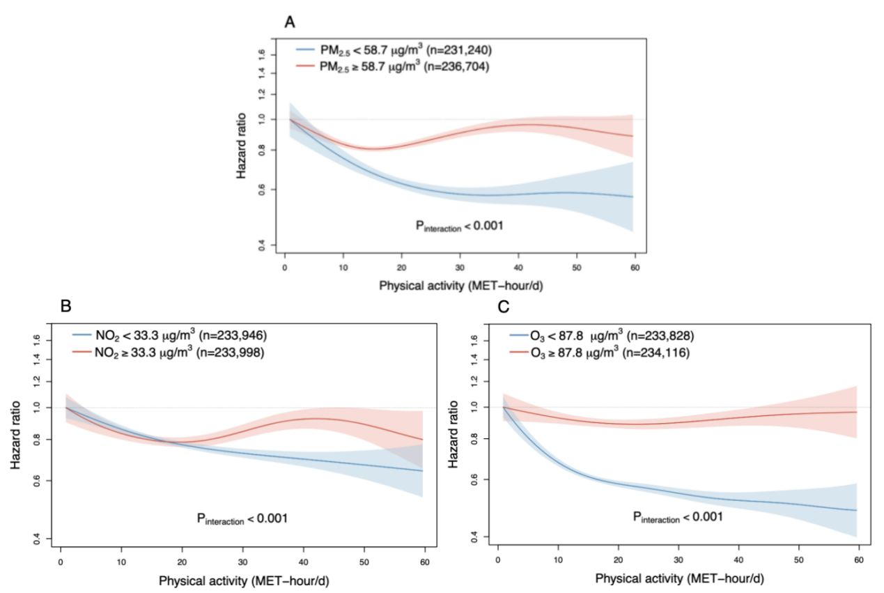
该研究分别以PM2.5(58.7 μg/m3)、NO2(33.3 μg/m3)和暖季O3(87.8 μg/m3)的年平均浓度中位数作为界值,划分了低、高暴露组。研究发现,在低空气污染暴露的人群中,体力活动与COPD发病风险呈显著负向关联,但在高空气污染暴露的人群中,体力活动与COPD呈弱正向关联或无关联(见图1-2)。

图1. 体力活动水平与COPD发病率的暴露–反应关系,按年平均浓度中位数分层:(A) PM2.5,(B) NO2,(C) 暖季O3
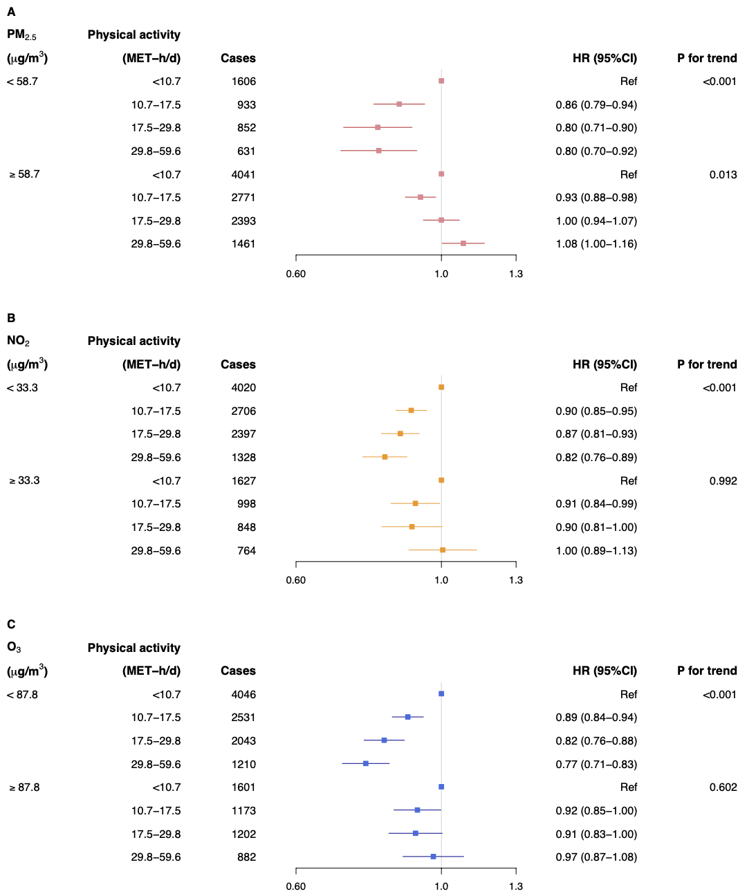
图2. 体力活动水平分组与COPD发病率的关联,按年平均浓度中位数分层:(A) PM2.5,(B) NO2,(C) 暖季O3
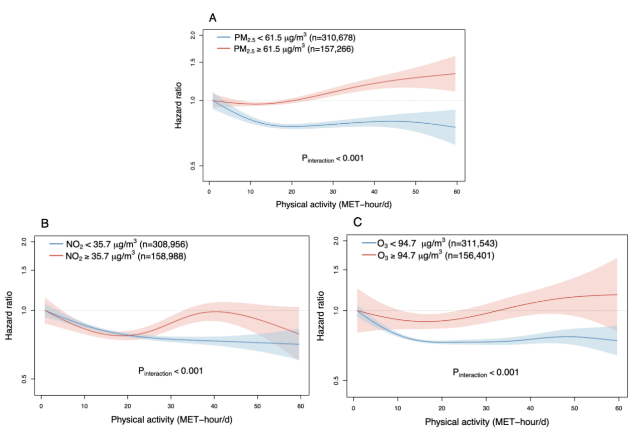
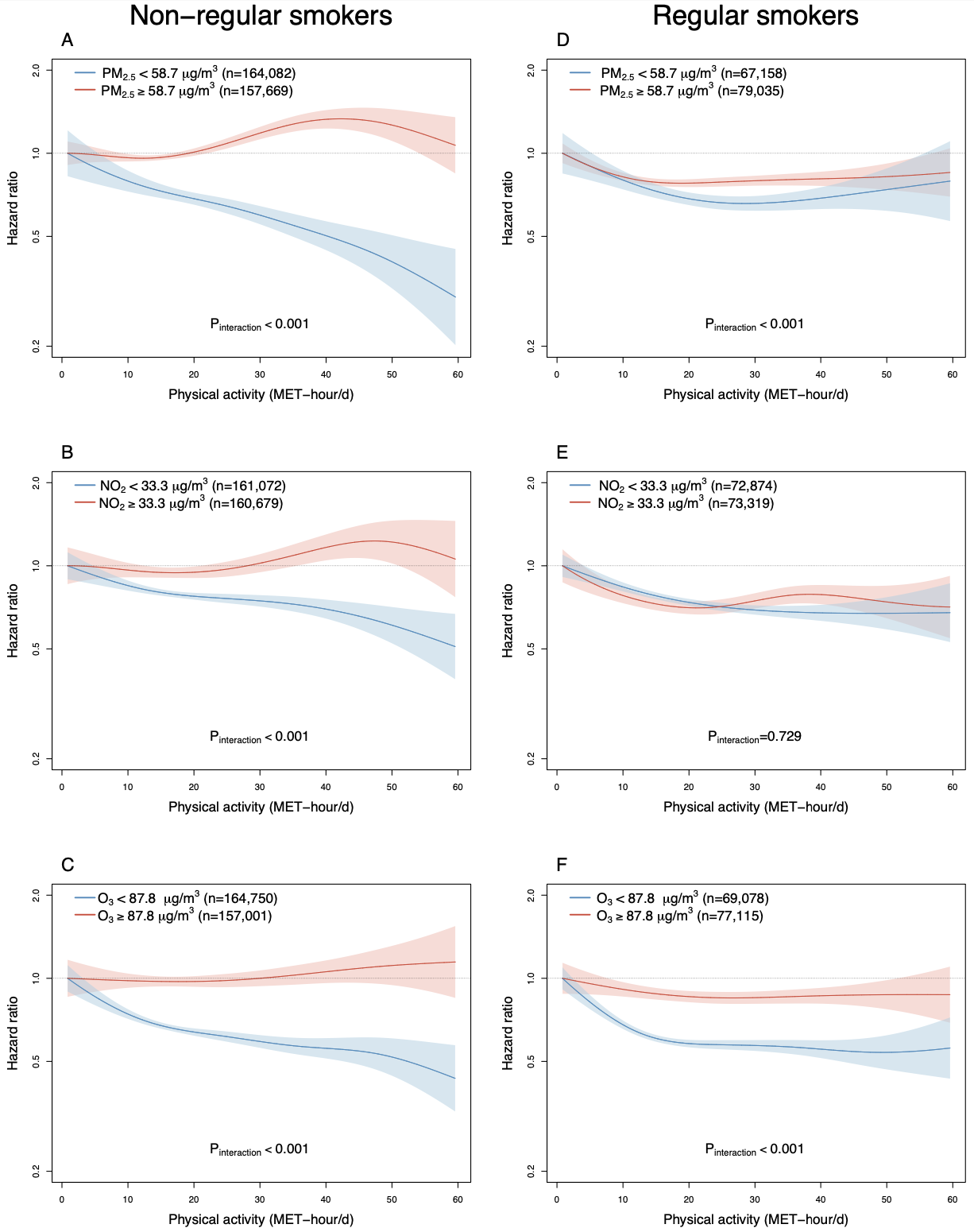
为探索更高水平空气污染对该交互作用的影响,研究分别以各污染物年平均浓度的第66.7百分位数(最高1/3浓度与较低浓度范围的分界点,即上三分位数)作为界值(PM2.5:61.5 μg/m3,NO2:35.7 μg/m3和暖季 O3:94.7 μg/m3)进行分层分析。研究发现,在高PM2.5暴露组中,体力活动>25 MET-h/d时,与COPD 发病风险呈正向关联(见图3-A)。高浓度的NO2和 O3对体力活动与 COPD 发病风险关系的效应修饰作用与按中位数界值分层的结果大致一致(见图3-B、3-C)。此外,研究发现不常吸烟者(从不吸烟或偶尔吸烟)对空气污染的这一修饰作用更为敏感,运动效益受空气污染影响的幅度更大(见图4)。

图3. 体力活动水平与COPD发病率的暴露–反应关系,按年平均浓度第66.7百分位数分层(最高1/3浓度与较低浓度范围的分界点,即上三分位数):(A) PM2.5,(B) NO2,(C) 暖季O3
图4. 体力活动水平与COPD发病率的暴露–反应关系,按年平均浓度中位数及吸烟状态分层:(A&D) PM2.5,(B&E) NO2,(C&F) 暖季O3
该研究是目前全球关于空气污染与体力活动对COPD发病风险交互作用的最大规模的前瞻性研究。研究为长期暴露于高水平空气污染削弱、甚至抵消体力活动对COPD的潜在保护作用提供了有力证据。这一发现为未来制定针对性公共卫生政策提供了重要依据,提示需同步推动空气质量改善与针对COPD的运动保护行为。论文以《长期空气污染暴露对体力活动与慢阻肺住院风险关联的效应修饰作用:一项基于50万中国成年人的前瞻性队列研究》 (Effect modification of long-term air pollution exposure on the association of physical activity with COPD hospitalization: a prospective cohort study of 0.5 million Chinese adults) 为题,发表于国际知名医学期刊柳叶刀子刊《The Lancet Regional Health – Western Pacific》。
西安交通大学公共卫生学院夏希助理教授为该论文的第一作者,西安交通大学公共卫生学院吴少伟教授和英国牛津大学CKB-Air项目负责人陈嘉鸿高级研究员为论文共同通讯作者。复旦大学公共卫生学院阚海东教授、英国牛津大学陈铮鸣教授和林建邦教授为该论文的资深作者。该研究得到了国家自然科学基金、国家重点研发计划、中英学术基金会(Sino-British Fellowship Trust)等项目的支持。
原文链接:https://authors.elsevier.com/sd/article/S2666606525002159